Šta je novo?

Centralno grejanje (Grejanje po utrošku)

znaci neće postovati svoju proceduru. Od 1. Oktobra dnevne temperature će biti manje od 12 stepeni i koliko shvatam nećemo imati grejanje jer nisu još ništa uključili. Ali će zato brze bolje da
Ugase 15. Oktobra ako je toplo napolje
 

Директор Београдских електрана каже (а исто пише и у Одлуци о снабдевању топлотном енергијом) да ће се станови грејати ако РХМЗ прогнозира средњу дневну температуру 12 степени или нижу.

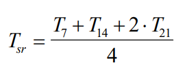
Средња дневна се рачуна према температурама измереним у 7, 14 и 21 сат по доњој формули, али прогноза (барем ова нама доступна) даје само највишу и најнижу тако да није баш најјасније како Београдске електране одређују да ли је критеријум испуњен.
1759346702675.png


Како тренутно ствари стоје, барем наредна три дана испунити ће критеријум за грејање, а можда и наредних пет. Само је питање какву математику и улазне податке користе Београдске електране.

1759346405246.png
 
Pa dobro, mislim, nije kao da se to grejanje papreno plaća, i to cele godine, pa da raja očekuje tople radijatore i habitabilne domove i pre 15. oktobra...
 
Po nekoj slobodnoj racunici sutra je resenje zadatka 9 C
Znaci po zakonu moraju da pale sutra,a verovatno su trebali i danas
 
Neće paliti jer već sledeće nedelje očekuje se lepše vreme.
 
Naravno, zašto bi oni palili i trošili gas, a grejanje se plaća tokom cele godine. Trenutno je 6,8 stepeni, zato ja a i mnogi građani pored centralnog moramo svake sezone da trošimo struju u ovom periodu na dogrevanje, a i u aprilu jer je po njima toplo.
 
Pustili su oko 11h, videćemo da li će da radi ili će biti nekih problema. Za sada greje odlično toplana Miljakovac, dok toplana Dunav vrte pumpe hladnu vodu u zgradi, moguće da su negde još uvek radovi u centru.
 
Ne greju ovde kod mene uopšte. Ne ustaje mi se iz kreveta uopšte.
 
kod mene na vozdovcu u zgradi su juce menjali neke cevi, ne znam sta su tacno radili u podrumu i danas radi grejanje. Inace nisu obavestili nikog o radovima
 
I kod mene je krenulo danas popodne. (Tašmajdan)
 
Daleko više od toga što je hladno me nervira da je st*** odlučila da nam je ovo dovoljno. Neko sedi negde i kao - pusti im malo grejanja, dosta im je.
 
Vreme je i da se zakon menja, razumem da po zakonu danas nema grejanja, ali ***o takav zakon.
 
Postali smo razmaženi.

Da ne bude da branim vlast - ja prvi bih želeo da su i danas radijatori topli, ali...

Obratite pažnju na sve stare filmove - ljudi su kod kuće obučeni višeslojno. Nikad niko nije u kratkoj majici, uvek imaju i košulju i prsluk i nešto preko.

Jbg, postali smo sisice, ali hoće to sa razvojem civilizacije.

Zato vadite džempere, vunene čarape, zepe, patofne (kako god ih zovete)...

Ja realno moram svaku zimu kod kuće u patikama da provedem, jbg, toplije mi je tako.
 
A jel? Ajde onda uporedi te filmove iz 70ih recimo, koji su sada 50 godina stari, sa onim kako je prosečan čovek živeo 1920ih, odnosno 50 godina pre 70ih.

I oni su bili razmaženi, zgrada, stan, centralno, lift, auto... a pre 50 godina u šumu, cepaj drva pa u raspadnutoj kući loži vatru, pa idi šišaj ovcu, pa peri vunu u potoku pa pravi sebi gunj da ga ogrneš.

A ne te sisice iz starih filmova što su košulju i prsluk kupili u prodavnici.
 
Poslednja izmena:
Jel plaćamo cele godine? Plaćamo. Šta onda? Treba da imamo daljinsku opciju da podešavamo temperaturu kako hoćemo pa meni iako u avgustu treba da dogrejem, ja ću da dogrejem.

Ali ajde da se ne glupiramo previše, 1.10. je realan, a po potrebi i pre. Isto kao i na proleće nema šta da gase dok se zna da će još biti hladnih dana.

Tj. kao ne plaćamo 12 meseci već se raspodeljuje trošak, što je čista laž i te cene nisu realne.

Daj i nama plaćanje po potrošnji kao što drugi imaju pa ako ću ja da hodam u gaćama, hodaću, ako ću da štekam pare i idem u zimskoj jakni po kući, ići ću.

Ali ne, gospoda iz vila na Dedinju su odlučili da nama sad ne treba grejanje i da je napolju dovoljno toplo da ne crknemo u stanovima.
 
Mora se napraviti neki presek zbog odrzavanja i nabavke sredstava za lozenje u toplani, to nije sporno.
Neke zgrade imaju centralno grejanje sa kalorimetrima pa oni placaju po pravoj potrosnji dok se kod drugih uzima ulazno trosenje od cele zgrade pa podeli spram m2 svake jedinice i tako ti odrede grejanje.

Pa ti bio tu ili bio u americi, sve dok si prikljucen ti placas.

Zato i ljudi isto vise vole novogradnje, em je bolja energetska efikasnost, cesto ne zavisis od centralnog grejanja + i kada zavisis od istog ugradjeni su kalorimetri u startu u zgradu.
Kod postojecih starogradnji ugradjivanje kalorimetara je skupo i zato se vecinski nece raditi (stanari su stipse).

Po meni samo pravilo da se gasi grejanje na osnovu temperature treba da bude drugacije regulisano. Vise bih voleo da imamo fiksan period garantovan.
 
Jel plaćamo cele godine? Plaćamo. Šta onda? Treba da imamo daljinsku opciju da podešavamo temperaturu kako hoćemo pa meni iako u avgustu treba da dogrejem, ja ću da dogrejem.

Ali ajde da se ne glupiramo previše, 1.10. je realan, a po potrebi i pre. Isto kao i na proleće nema šta da gase dok se zna da će još biti hladnih dana.

Tj. kao ne plaćamo 12 meseci već se raspodeljuje trošak, što je čista laž i te cene nisu realne.

Daj i nama plaćanje po potrošnji kao što drugi imaju pa ako ću ja da hodam u gaćama, hodaću, ako ću da štekam pare i idem u zimskoj jakni po kući, ići ću.

Ali ne, gospoda iz vila na Dedinju su odlučili da nama sad ne treba grejanje i da je napolju dovoljno toplo da ne crknemo u stanovima.
Плаћамо целе године и неће они да нам одређују кад је коме топло или хладно. 15,17 степени напољу је пријатно, али у становима је хладно. И сваке године отимају и у априлу чим отопли пар дана, онда захладни и нема више, “ готова сезона”. И померити на 1. Октобар.
 
Poslednja izmena:
Vrh